• Предмет: Математика
  • Автор: mleo93127
  • Вопрос задан 8 лет назад

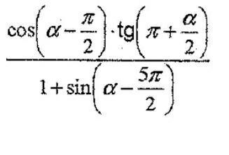
Уменьшить выражение .....

Приложения:

Ответы

Ответ дал: olacerepeke99
0

Ответ:

2a/2 - 5П/2

/ ето диление❤️

Вас заинтересует