• Предмет: Химия
  • Автор: cemapaf178
  • Вопрос задан 8 лет назад

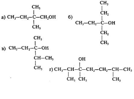
Помогите записать в междунароной номенклатуре

Приложения:

Ответа на этот вопрос пока нет. Попробуйте найти его через форму поиска.

Вас заинтересует