40 баллов! Всем доброго дня!
Помогите, пожалуйста! Главные мозги/знатоки/профессоры/ученые/модераторы/, все, кто может правильно, понятно и подробно решить!!! Всего одно тождество! Очень срочно!! (Если можете, то на бумаге, но вообще, как вам будет удобно!)
Алгебра, 9 класс. (только не замудряйте, прошу, решите наиболее понятным способом)
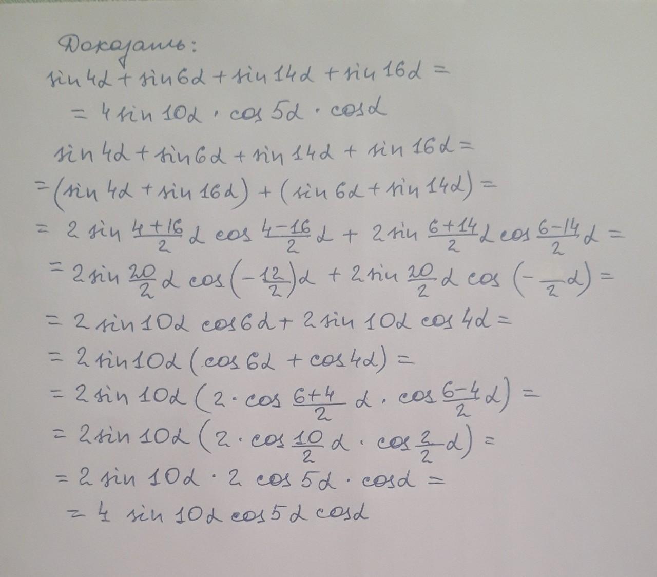
Докажите:
sin4α + sin6α + sin14α + sin16α = 4sin10α × cos5α × cosα
Ответы
Ответ дал:
0
Ответ:
Доказать триг. тождество.
Приложения:

Вас заинтересует
2 года назад
2 года назад
3 года назад
3 года назад
8 лет назад
9 лет назад
9 лет назад