• Предмет: Алгебра
  • Автор: 1234563434343
  • Вопрос задан 8 лет назад

15 баллов

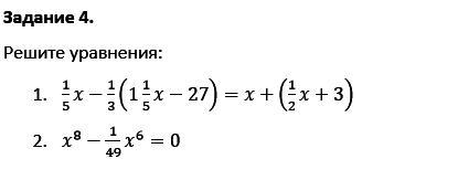
Решить уравнения:

Приложения:

Ответы

Ответ дал: rakhmetov003
0

 frac{1}{5} x -  frac{1}{3} ( 1frac{1}{5} x - 27) = x + ( frac{1}{2} x + 3) \  frac{1}{5} x -  frac{2}{5} x + 9 = x +  frac{1}{2} x + 3 | times 10 |  \ 2x  -  4x + 90 = 10x + 5x + 30 \  - 17x = -  60 \  x =  frac{60}{17}  = 3frac{9}{17}

 {x}^{8}  -  frac{1}{49}  {x}^{6}  = 0  \  {x}^{6} ( {x}^{2}  -  frac{1}{49} ) = 0 \  {x}^{6}  = 0 \  {x}^{2}  -  frac{1}{49}  = 0 \ x1 = 0 \ x2 =  frac{1}{7 }  \ x3 =   - frac{1}{7}

Вас заинтересует