• Предмет: Алгебра
  • Автор: parinazalieva
  • Вопрос задан 8 лет назад

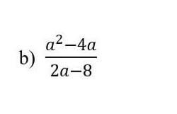
Помагите Пожайлуста Срочно . Сократите дробь

Приложения:

Ответы

Ответ дал: nastyaryabova20
0

Ответ: Прикрепила файл.

Объяснение:

Приложения:
Ответ дал: nastyaryabova20
0
не за что.
Ответ дал: nastyaash454
0

Відповідь:

а/2

Пояснення:

а(а-4)/2(а-4) = а/2

(скоротилось а-4)

Приложения:
Вас заинтересует