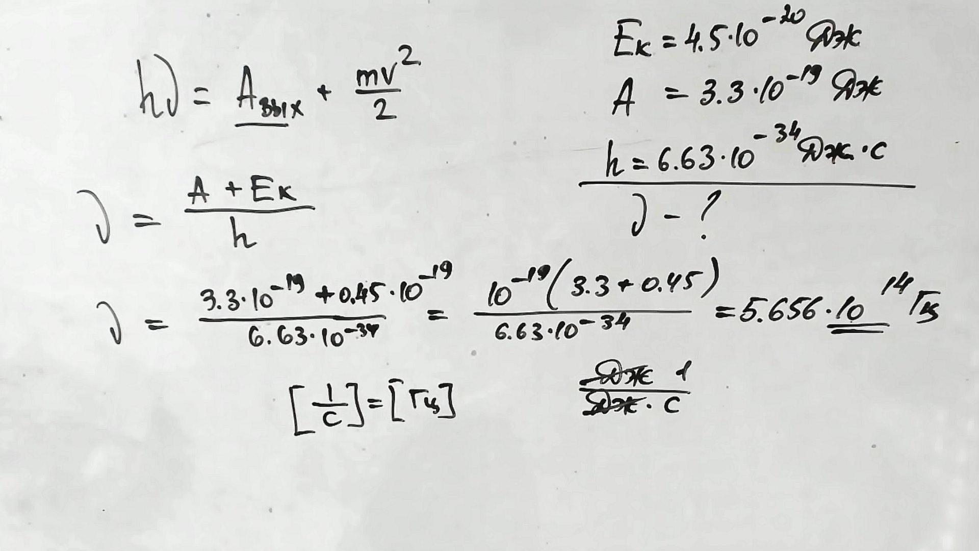
Определите частоту света, которым освещается поверхность металла, если фотоэлектроны имеют кинетическую энергии 4,5·10-20Дж, а работа выхода равна 3,3·10-19Дж. (Һ= 6,63·10-34 Дж·с)
Ответы
Ответ дал:
0
Ответ:
Объяснение:
Определите частоту света, которым освещается поверхность металла, если фотоэлектроны имеют кинетическую энергии 4,5·10-20Дж, а работа выхода равна 3,3·10-19Дж. (Һ= 6,63·10-34 Дж·с)
Приложения:

Вас заинтересует
2 года назад
2 года назад
3 года назад
8 лет назад
9 лет назад
9 лет назад