• Предмет: Математика
  • Автор: 1BlackCote1
  • Вопрос задан 8 лет назад

Теория Вероятности (помогите пожалуйста 3-ий день немогу ее решить)
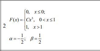
Найти Функцию, плотность распределения и числовые характеристики
непрерывной случайной величины

Приложения:

Ответа на этот вопрос пока нет. Попробуйте найти его через форму поиска.

Вас заинтересует