Теория вероятности
Найти Функцию, плотность распределения и числовые характеристики
непрерывной случайной величины
Приложения:

Ответы
Ответ дал:
0
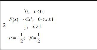
Решение на картинке.
Приложения:

Ответ дал:
0
Оформлено решение самостоятельно )
Ответ дал:
0
Пожалуйста!
Вас заинтересует
2 года назад
2 года назад
3 года назад
8 лет назад