• Предмет: Математика
  • Автор: taogeneral
  • Вопрос задан 8 лет назад

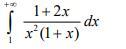
Несобственный интеграл. Исследовать на сходимость

Приложения:

Ответа на этот вопрос пока нет. Попробуйте найти его через форму поиска.

Вас заинтересует