• Предмет: Математика
  • Автор: juliakozina10
  • Вопрос задан 8 лет назад

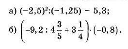
найдите значение выражения​

Приложения:

Ответы

Ответ дал: raximovjasur508
0

вот пока что пиши это щас второй тоже решу вот теперь пиши я всё по порядку написал

Приложения:
Ответ дал: dim4iktwink
0

Ответ:

а) -10,3

б) -1

Пошаговое объяснение:

Приложения:
Вас заинтересует