• Предмет: Математика
  • Автор: thestepangg
  • Вопрос задан 8 лет назад

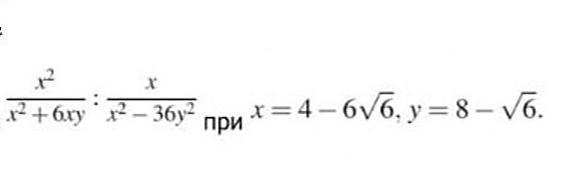
Найдите значение выражения

Приложения:

Ответы

Ответ дал: paporotnik84
0

Ответ:

Думаю все понятно.......

Приложения:
Вас заинтересует