• Предмет: Алгебра
  • Автор: gayd98
  • Вопрос задан 8 лет назад

срочно решите
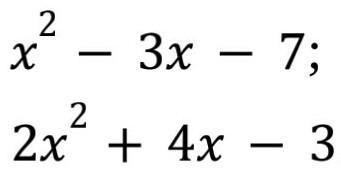
Тут надо розкласти на множники квадратний тричлен​

Приложения:

Ответа на этот вопрос пока нет. Попробуйте найти его через форму поиска.

Вас заинтересует