• Предмет: Математика
  • Автор: Ivan188647
  • Вопрос задан 8 лет назад

Плизз помогите:
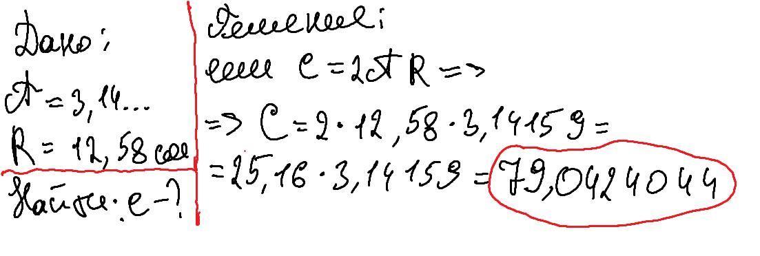
Радиус окружности равен 12,58 см. Значение числа π≈3,14.
Определи длину C этой окружности (с точностью до сотых).

C =
см.

Ответы

Ответ дал: mouse167
0

Ответ:

79,0424044

Пошаговое объяснение:

Приложения:
Вас заинтересует