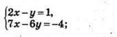
Первый номер-способом "По х и у"!
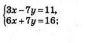
Второй, третий-"Подстановка"
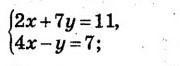
Четвёртый-"Сложение"
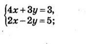
Пятый-"Подстановка"
Шестой-"Сложение"
Очень срочно!)
Даю 30 баллов!
Ответ можно в фото!
Зарание спасибо;)
Приложения:





Ответы
Ответ дал:
0
Ответ:
1) ( -3,5; -3)
2) (2; 3)
3) (3; - 2/7)
4) (2; 1).
5) (1,5; - 1)
Приложения:


Вас заинтересует
2 года назад
3 года назад
3 года назад
8 лет назад
9 лет назад