• Предмет: Алгебра
  • Автор: efdfddg
  • Вопрос задан 8 лет назад

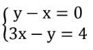
Розв’яжіть графічно систему рівнянь
{у − х = 0
3х − у = 4

Пожалуйста..(

Приложения:

Ответы

Ответ дал: komaralena
0

Ответ:

х = 2

у = 2

..............

Вас заинтересует