• Предмет: Физика
  • Автор: dianatarn2806
  • Вопрос задан 8 лет назад

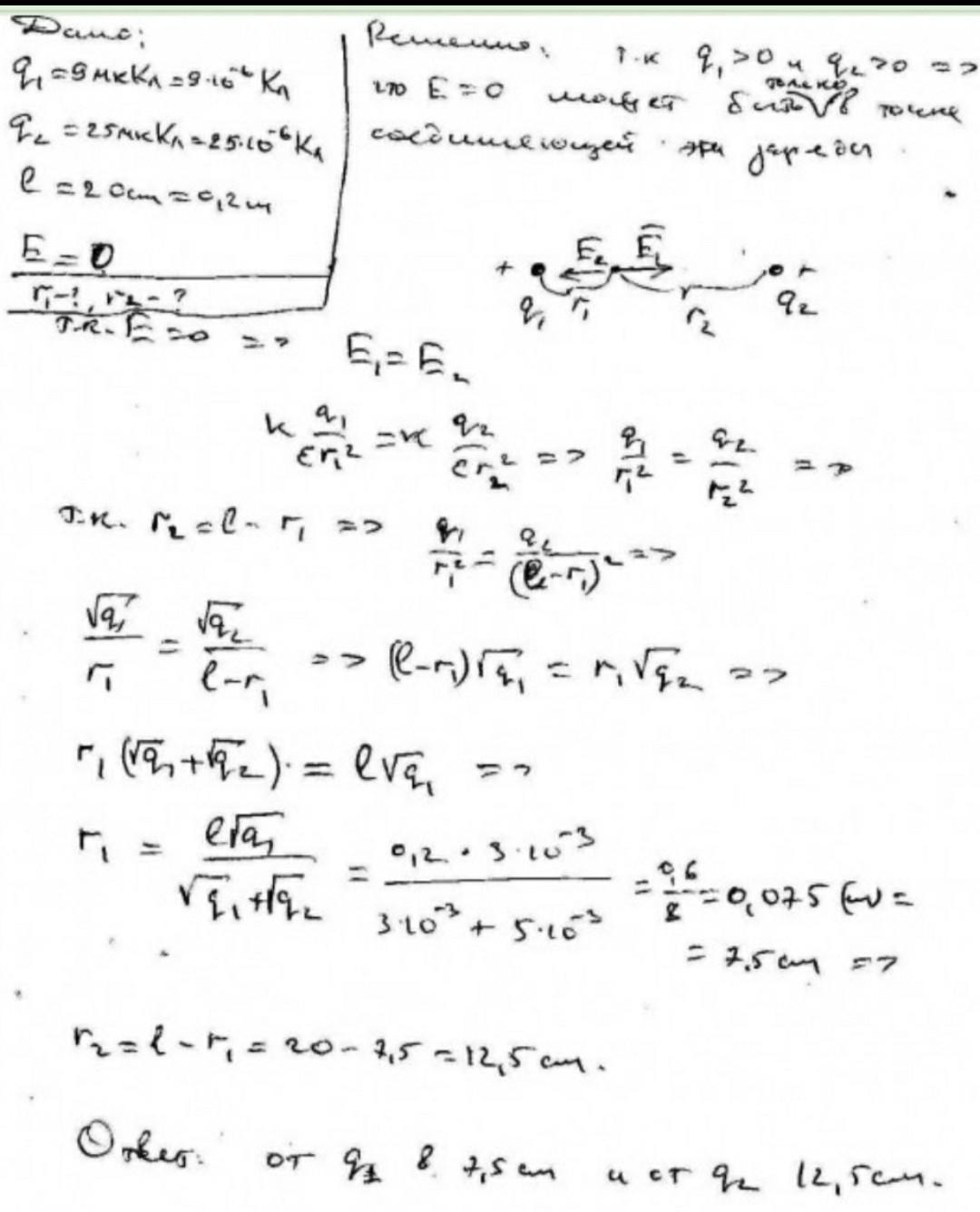
Два точкові заряди 9 мкКл 25 мкКл розташовані на відстані 20 см один від одного. Визначити у якій точці напруженість електричного поля утвореного зарядами дорівнює нулю?​

Ответы

Ответ дал: aagalenov00
0

Ответ:

.........................

..

Приложения:
Ответ дал: romaniukandrii15
0

На фот.........................

Відповідь : 7,5см від 9мкКл або 12,5 см від 25мкКл

Приложения:
Вас заинтересует