• Предмет: Математика
  • Автор: 085480hahaha777
  • Вопрос задан 8 лет назад

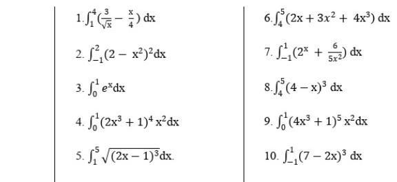
Интегралы. Помогите пожалуйста. ​

Приложения:

Ответа на этот вопрос пока нет. Попробуйте найти его через форму поиска.

Вас заинтересует