• Предмет: Математика
  • Автор: asdafdff
  • Вопрос задан 8 лет назад

Помогите решить примеры, пожалуйста

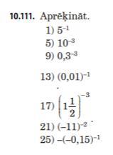
Приложения:

Ответы

Ответ дал: Pepino
0

Ответ:

Пошаговое объяснение:

1) 0,2

5) 0,001

9) 37,037037... = 37,(037)

13) 100

17) 0,296296... = 0,(296)

21) 0,00826446

25) 6,66666... = 6,(6)

Вас заинтересует