• Предмет: Геометрия
  • Автор: talifa22
  • Вопрос задан 8 лет назад

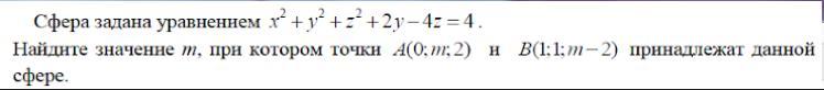
Пожалуйста пожалуйста

Приложения:

Ответа на этот вопрос пока нет. Попробуйте найти его через форму поиска.

Вас заинтересует