• Предмет: Алгебра
  • Автор: darkma1
  • Вопрос задан 8 лет назад

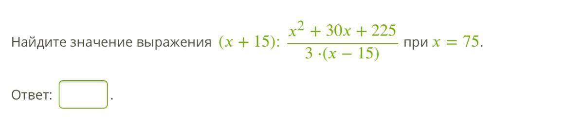
Найдите значение выражения:

Приложения:

Ответы

Ответ дал: Go0oG
0

Ответ:

Смотри фото↓

Объяснение:

Приложения:
Ответ дал: Utop1a
0
180/90 = 20 ?? )))
Ответ дал: Utop1a
0

Ответ во вложении...

Приложения:
Вас заинтересует