• Предмет: Математика
  • Автор: 5124361234
  • Вопрос задан 8 лет назад

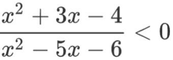
помоги. заранее спасибо

Приложения:

Ответа на этот вопрос пока нет. Попробуйте найти его через форму поиска.

Вас заинтересует