• Предмет: Математика
  • Автор: Lalalad12
  • Вопрос задан 8 лет назад

Помогите в алгеброй умоляю!!! 10 класс!!

Приложения:

Ответы

Ответ дал: artalex74
0

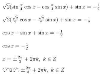
sqrt{2}(sin frac{pi}{4} cos x-cos frac{pi}{4} sin x)+ sin x =-frac{1}{2} \\sqrt{2}(frac{sqrt{2} }{2} cos x-frac{sqrt{2} }{2} sin x)+ sin x =-frac{1}{2} \\ cos x-sin x+sin x=-frac{1}{2} \\ cos x=-frac{1}{2} \\ x=б frac{2pi}{3} +2pi k, kin Z

Ответ: б frac{2pi}{3} +2pi k, kin Z

Приложения:
Вас заинтересует