• Предмет: Алгебра
  • Автор: danpwbmine
  • Вопрос задан 8 лет назад

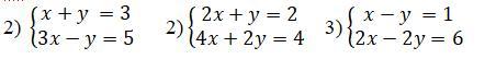
Розв’язати графічно системи рівнянь

Приложения:

Ответы

Ответ дал: raximovjasur508
0

Объяснение:

вот ответы перепиши теперь

Приложения:
Ответ дал: raximovjasur508
0
там есть посмотри
Вас заинтересует