• Предмет: Алгебра
  • Автор: andriy20060716
  • Вопрос задан 8 лет назад

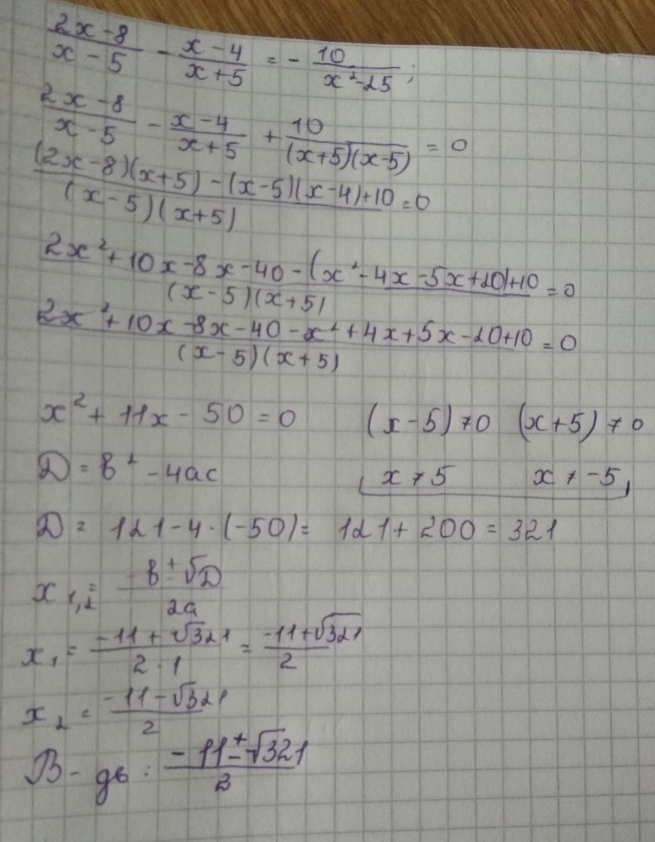
розвяжіть рівняння 2x-8/x-5-x-4/x+5=-10/x2-25

Приложения:

Ответы

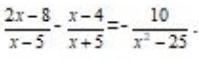
Ответ дал: nastyatya13b
0

Ответ:

чомусь не вийшло ціле число, але напевно правильно

Приложения:
Вас заинтересует