Добрый день!
Помогите, пожалуйста !
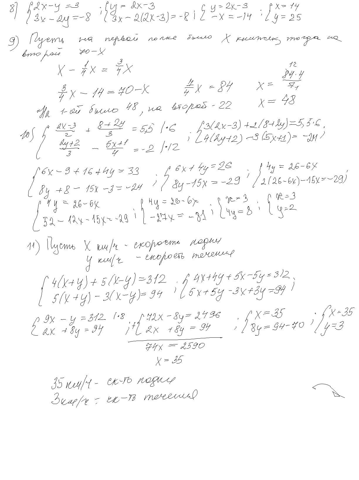
Мне нужно решить 8-11 задание
Отдаю все, что у меня есть=_=
Приложения:

Ответы
Ответ дал:
0
Ответ:
8)x=1, y=2
9)48, 22
10)x=3, y=2
11) Ск. лодки-35 км/ч, ск. течения - 3км/ч
Объяснение:
Приложения:

Вас заинтересует
2 года назад
3 года назад
8 лет назад
8 лет назад
9 лет назад