• Предмет: Алгебра
  • Автор: danpoggan
  • Вопрос задан 8 лет назад

Ребят, срочно. Интеграл.

Ответы

Ответ дал: Nt18mh
0

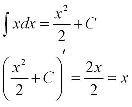
Ответ:

Интеграл

Объяснение:.

Интеграл — одно из важнейших понятий математического анализа, которое возникает при решении задач о нахождении площади под кривой, пройденного пути при неравномерном движении, массы неоднородного тела, и тому подобных, а также в задаче о восстановлении функции по её производной

Приложения:
Вас заинтересует