• Предмет: Алгебра
  • Автор: danpoggan
  • Вопрос задан 8 лет назад

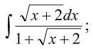
Интеграл. Срочно, пожалуйста. Прикрепил фото.

Приложения:

Ответа на этот вопрос пока нет. Попробуйте найти его через форму поиска.

Вас заинтересует