• Предмет: Геометрия
  • Автор: Noiju
  • Вопрос задан 8 лет назад

Розв’яжіть систему рівняння способом підстановки :
x-3y=10
5x+y=2

Ответы

Ответ дал: katyangens
0

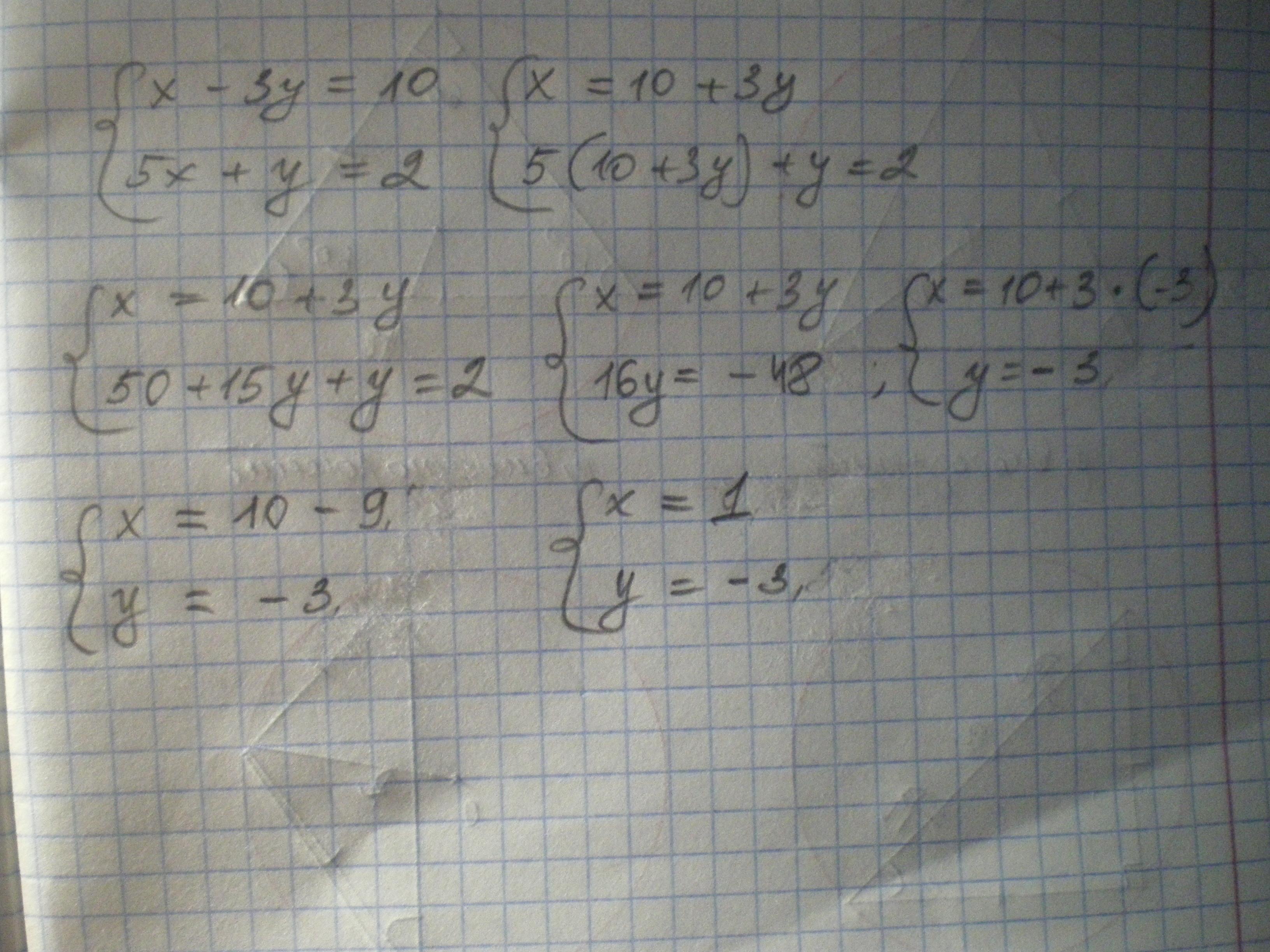
Відповідь: х=1, у=-3

Пояснення:

Виразимо у першому рівнянні х:

х = 10+3у

Підставимо цей х у друге рівняння:

5*(10+3у)+у=2

50+15у+у=2

16у=-48

у=-3

Підставимо у у перше рівняння, щоб знайти значення х:

х=10+3*(-3)=10-9=1

Ответ дал: Пеппер
0

Ответ:

(1;  -3)

Объяснение:

Приложения:
Вас заинтересует