• Предмет: Алгебра
  • Автор: makarmelashenko27
  • Вопрос задан 8 лет назад

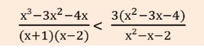
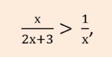
Пожалуйста помогите решить 2 уравнения



Дробно рациональные неравенства

Приложения:

Ответа на этот вопрос пока нет. Попробуйте найти его через форму поиска.

Вас заинтересует