• Предмет: Математика
  • Автор: chero007
  • Вопрос задан 8 лет назад

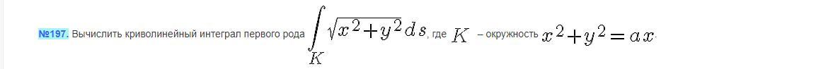
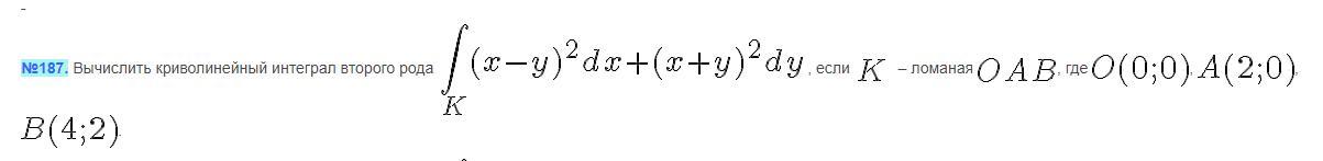
ПОМОГИТЕ РЕШИТЬ СРОЧНО 70 БАЛЛОВ!!!!!!!!!111

Приложения:

Ответа на этот вопрос пока нет. Попробуйте найти его через форму поиска.

Вас заинтересует