• Предмет: Математика
  • Автор: luckyday71
  • Вопрос задан 8 лет назад

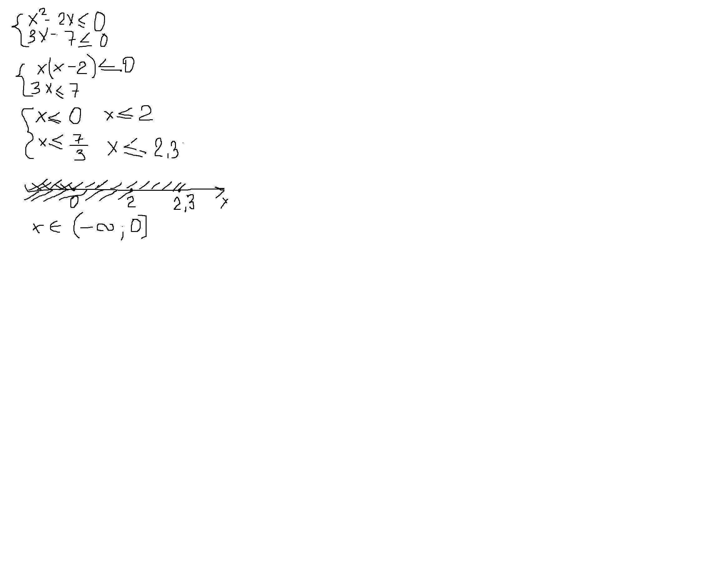
Решите систему неравенств.

x^2-4≤0 x^2-9>0 x^2-2x≤ 0 3x-7≤ 0
3x-2<0 3x-2≥ 0 2x-5<0 -2x^2+5x≥0

Ответы

Ответ дал: vladrov
0

Ответ:

Пошаговое объяснение:

Приложения:
Вас заинтересует