• Предмет: Математика
  • Автор: koreanmarafon
  • Вопрос задан 8 лет назад

СРОЧНО! Даю 50б.

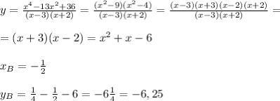
Дослідіть функцію f(x)=x⁴-13x²+36 і

Ответы

Ответ дал: 12nasty1212
0
!!!!!!!!!!
Так похоже
Приложения:
Вас заинтересует