• Предмет: Алгебра
  • Автор: vsg76168
  • Вопрос задан 8 лет назад

Вычислите sinx. если sin x/2+cos x/2=1/6

Ответы

Ответ дал: sangers1959
0

Ответ:

Объяснение:

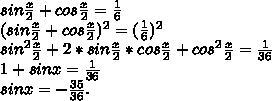
sinfrac{x}{2} +cosfrac{x}{2} =frac{1}{6} \(sinfrac{x}{2} +cosfrac{x}{2})^{2}  =(frac{1}{6})^{2} \sin^{2} frac{x}{2} +2*sinfrac{x}{2}*cosfrac{x}{2}+cos^{2} frac{x}{2}  =frac{1}{36}  \1+sinx=frac{1}{36} \sinx=-frac{35}{36}.

Ответ дал: cane2
0

Ответ:

.................................................................

Объяснение:

Приложения:
Вас заинтересует