Ответы
Ответ дал:
0
Ответ:
Пошаговое объяснение:
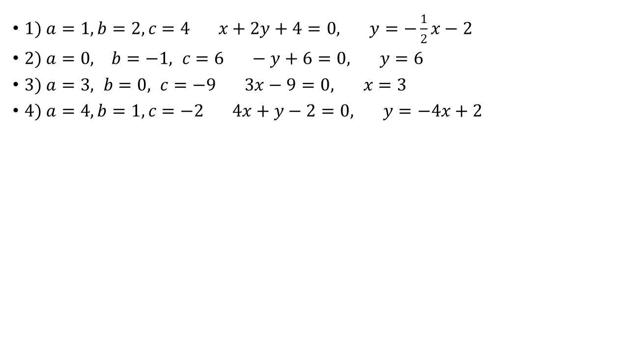
ax+by+c=0
Приложения:


Вас заинтересует
2 года назад
3 года назад
3 года назад
8 лет назад
8 лет назад
9 лет назад