Ответы
Ответ дал:
0
Пошаговое объяснение:
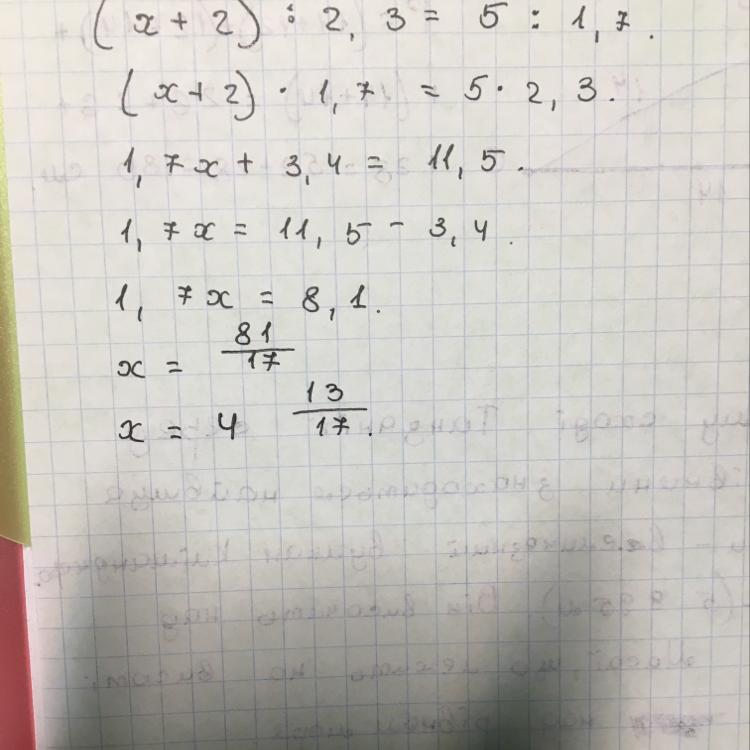
(x+2)*1,7=5*2,3
1,7x+3,4=11,5
1,7x=11,5-3,4
1,7x=8,1
x=81/17 (4 целых 13/17)
Ответ дал:
0
У мене так само вийшло
Приложения:

Вас заинтересует
2 года назад
2 года назад
3 года назад
3 года назад
8 лет назад
8 лет назад
9 лет назад