• Предмет: Алгебра
  • Автор: arsenrilkitaec
  • Вопрос задан 8 лет назад

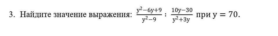
Найдите значение выражения пжпжпжжппжпж​

Приложения:

Ответы

Ответ дал: nanaabdullina
0

(у-3)² / (у-3) × (у+3) × у²+3у / 10у-30

у-3/ у+3 × у( у+3)/ 10( у-3)

ответ: у/10

если при у= 70 , то 70/10 = 7

ответ: 7

Ответ дал: Zombynella
0

Ответ:

7  

Объяснение:

(у²-6у+9)/(у²-9) : (10у-30)/(у²+3у)=

В числителе первой дроби развёрнут квадрат разности, свернуть. В знаменателе первой дроби разность квадратов, развернуть.

В числителе второй дроби вынести 10 за скобки, в знаменателе второй дроби вынести у за скобки.

=(у-3)²/(у-3)(у+3) : [10(у-3)]/[у(у+3)]=

Чтобы разделить дробь на дробь, нужно числитель первой дроби умножить на знаменатель второй, а знаменатель первой дроби умножить на числитель второй.

=[(у-3)(у-3)*у(у+3)] : [(у-3)(у+3)*10(у-3)]=

Все скобки сокращаются.

=у/10

Подставляем значение у:

=у/10=70/10=7                            

Вас заинтересует