• Предмет: Математика
  • Автор: linaakhmetovaa
  • Вопрос задан 8 лет назад

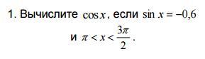
Математика! Помогите решить задание,пожалуйста (15баллов)

Приложения:

Ответы

Ответ дал: Imu22
0

Ответ:

cosx=корень из 1- (-0.6)²

cosx=корень из 0.64

cosx=-0.8;

потому что cos здесь отрицательный

Вас заинтересует