• Предмет: Алгебра
  • Автор: zhaniyashkaa
  • Вопрос задан 8 лет назад

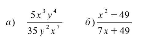
сократите дроби
лоооол срооооооочно

Приложения:

Ответы

Ответ дал: Zombynella
0

Ответ:

1)у²/7х⁴;

2)(х-7)/7.

Объяснение:

1)(5х³у⁴)/(35у²х⁷)=

сокращение 5 и 35 на 5, х³ и х⁷ на х³, у⁴ и у² на у²

=у²/7х⁴;

2)(х²-49)/(7х+49)=

=(х-7)(х+7)/7(х+7)=

сокращение  (х+7) и (х+7) на (х+7)

=(х-7)/7.

Вас заинтересует