• Предмет: Алгебра
  • Автор: zhaniyashkaa
  • Вопрос задан 8 лет назад

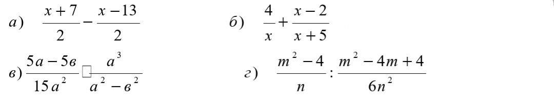
выполните действия
СРОЧНОООООО 15 БАЛЛОВ.

Приложения:

Ответа на этот вопрос пока нет. Попробуйте найти его через форму поиска.

Вас заинтересует