• Предмет: Алгебра
  • Автор: 01293847
  • Вопрос задан 8 лет назад

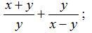
Алгебра помогите срочно!!!!!

Приложения:

Ответы

Ответ дал: dilda72007
0

Ответ:

х(2)/ху-у(2)

Объяснение:

Двойка в скобках это степень

Вас заинтересует