• Предмет: Алгебра
  • Автор: lapshinams80
  • Вопрос задан 8 лет назад

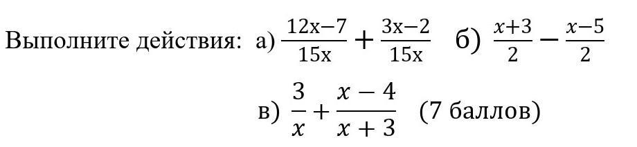
Алгебра(помогите пожалуйста!) ​

Приложения:

Ответа на этот вопрос пока нет. Попробуйте найти его через форму поиска.

Вас заинтересует