• Предмет: Алгебра
  • Автор: dastin8999
  • Вопрос задан 8 лет назад

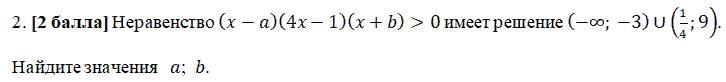
НЕРАВЕНСТВО. ПОМОГИТЕ СРОЧНО ПОЖАЛУЙСТА, ДАЮ 25 БАЛЛОВ.

Приложения:

Ответа на этот вопрос пока нет. Попробуйте найти его через форму поиска.

Вас заинтересует