• Предмет: Математика
  • Автор: 55555555867
  • Вопрос задан 8 лет назад

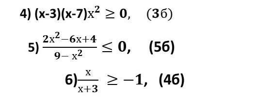
АЛГЕБРА ПОМОГИТЕ
САМОЕ ГЛАВНОЕ 6 ИЛИ 5​

Приложения:

Ответа на этот вопрос пока нет. Попробуйте найти его через форму поиска.

Вас заинтересует