• Предмет: Математика
  • Автор: FIRE10
  • Вопрос задан 8 лет назад

Математика
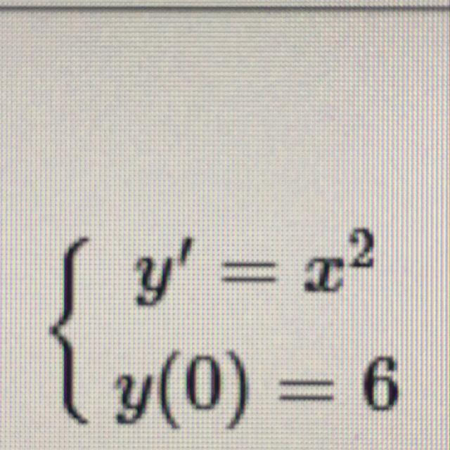
Решить задачу Коши:

Приложения:

Ответы

Ответ дал: dina8219
0
Фото мач скачай и решай
Вас заинтересует