• Предмет: Алгебра
  • Автор: mashashishkina66
  • Вопрос задан 8 лет назад

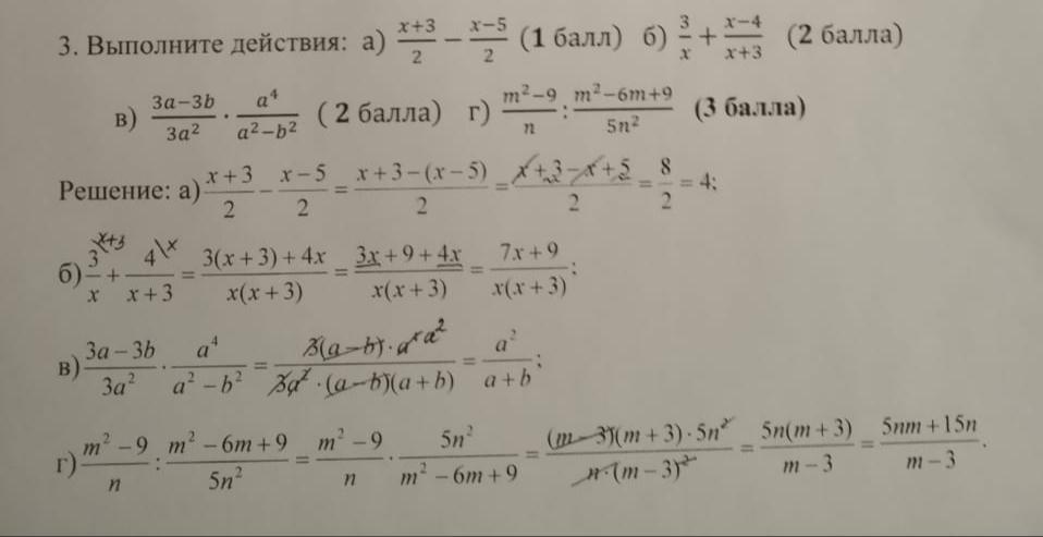
Выполните действия
на 1 фото задание,на 2 образец

Приложения:

Ответа на этот вопрос пока нет. Попробуйте найти его через форму поиска.

Вас заинтересует
3 года назад