• Предмет: Физика
  • Автор: stiker2005
  • Вопрос задан 8 лет назад

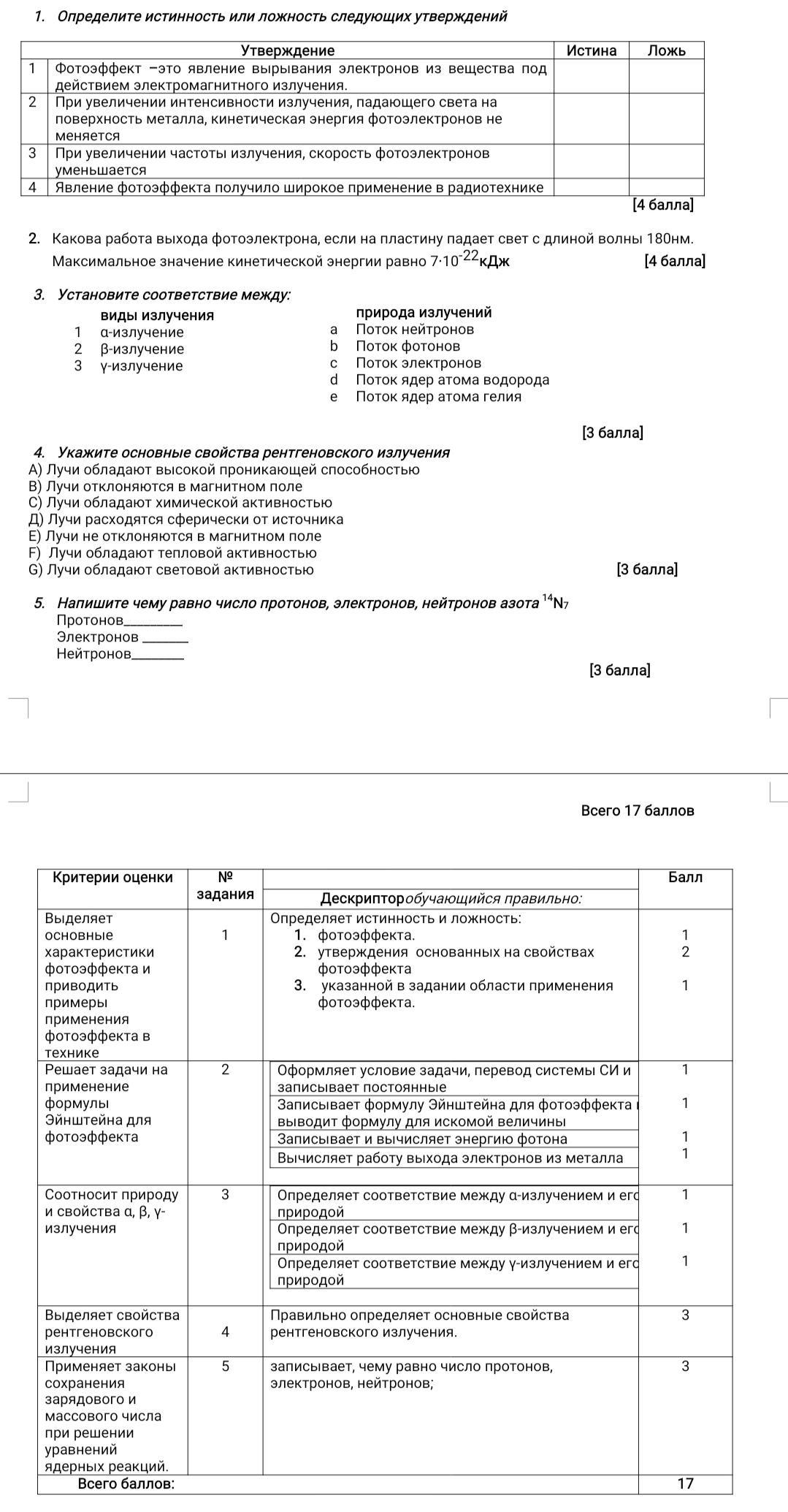
Помогите срочно .Даю 40баллов !!
Задания на фото

Приложения:

Ответа на этот вопрос пока нет. Попробуйте найти его через форму поиска.

Вас заинтересует