Ответы
Ответ дал:
0
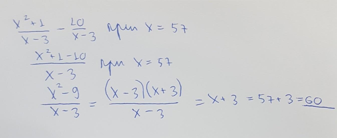
Ответ:
60
Объяснение:
Решение на листочке!!!
Приложения:

Вас заинтересует
2 года назад
2 года назад
3 года назад
3 года назад
8 лет назад
9 лет назад