• Предмет: Математика
  • Автор: Аноним
  • Вопрос задан 8 лет назад

.Плиззззззз срочно сор​

Приложения:

Ответы

Ответ дал: WSVR
0

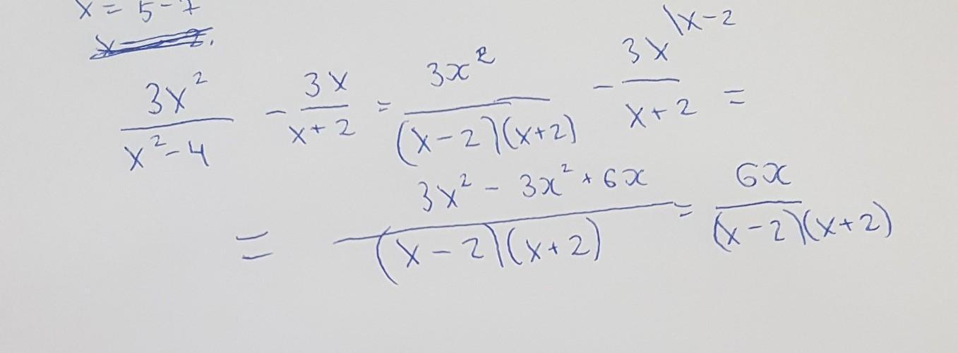
Решение на листочке!!!!

Приложения:
Вас заинтересует