• Предмет: Алгебра
  • Автор: feetan
  • Вопрос задан 8 лет назад

Помогите прошу на снимкеооооо

Приложения:

Ответы

Ответ дал: nikto7658
0

Ответ:

знаю первое:

b frac{756}{11}

и если не понятно

b=756/11

/-это дробь

Ответ дал: sangers1959
0

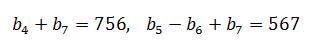
Ответ: q=3   b₁=1.

Объяснение:

{b₄+b₇=756           {b₁q³+b₁q⁶=756             {b₁q³*(1+q³)=756

{b₅-b₆+b₇=567      {b₁q⁴-b₁q⁵+b₁q⁶=567     (b₁q³*(q-q²+q³)=567

Разделим первое уравнение на второе:

(1+q³)/(q-q²+q³)=4/3

3*(1+q³)=4*(q-q²+q³)

3+3q³=4q-4q²+4q³

q³-4q²+4q-3=0

q³-3q²-q²+4q-3=0

q²*(q-3)-(q²-4q+3)=0

q²*(q-3)-(q²-3q-q+3)=0

q²*(q-3)-(q*(q-3)-(q-3))=0

q²*(q-3)-(q-3)*(q-1)=0

(q-3)*(q²-q+1)=0

q=3

q²-q+1=0   D=-3  ⇒ Уравнение не имеет действительных корней.

q=3   ⇒

b₁q³*(1+q³)=756

b₁*3³*(1+3³)=756

b₁*27*28=756

b₁*756=756  |÷756

b₁=1

b₂=b₁q=1*3=3

b₃=b₁q²=1*3²=9

b₄=b₁q³=1*3³=27

b₅=b₁q⁴=1*3⁴=81

b₆=b₁*q⁵=1*3⁵=243

b₇=b₁*q⁶=1*3⁶=729 и т.д.

Вас заинтересует