• Предмет: Алгебра
  • Автор: leskokata09
  • Вопрос задан 8 лет назад

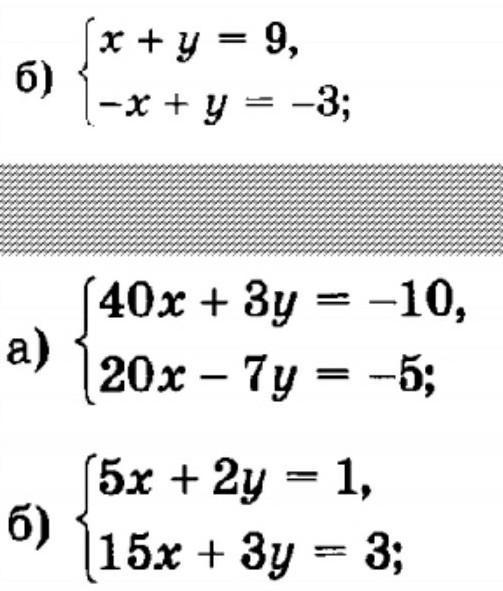
решите систему уравнений методом сложения 7класс ​

Приложения:

Ответы

Ответ дал: polyana210
0

Ответ:

б) х-х+у+у=9-3

2у=6

у=3

х+3=9

х=6

Ответ: 6,3

Вас заинтересует